
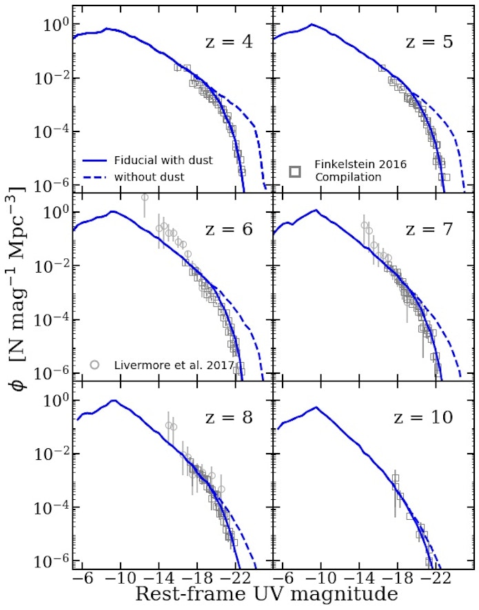
In anticipation of the upcoming launch of the James Webb Space Telescope (JWST), we provide detailed predictions for a wide variety of observable and physical properties of high redshift galaxies (z~4-10). The predictions come from the latest version of the Santa Cruz semi-analytic models (Somerville et al. 2008; Somerville et al. 2015), as presented in Yung et al. (2018). These models are based on cosmological dark matter halo merger trees, and implement physical recipes for cooling, multiphase gas, star formation, stellar feedback, chemical enrichment, black hole seeding and growth, and black hole feedback. The resulting star formation histories are convolved with stellar population synthesis models and a model for dust attenuation, and the spectral energy distributions are convolved with the full set of JWST NIRCam filters.
We provide predictions for galaxy populations over a wide range of rest UV luminosity from MUV ∼ −6 to ∼ −24 between z = 4 – 10. In addition, we present the corresponding predictions for observed-frame galaxy number counts in different redshift bins in the full set of NIRCam filters. We provide predictions of the quantitative effect on these observables of varying the physical recipes implemented in the models.
For more details see:
Paper I (ads, arXiv) – data release
Paper II (ads, arXiv) – data release
Paper III (ads, arXiv) – data release
Paper IV (ads, arXiv) – data release
